项目类别:核电设施抗震试验
某池式供热堆反应堆厂房抗震结构振动台试验
1.项目概况
池式供热堆反应堆等核电设施是“国家重大能源设施和民生保障工程”中复杂而敏感的特殊结构。现有国内对于核电结构隔震技术的研究主要集中在隔震系统设计等方面,针对隔震效果的研究并不多见。而在实际工程中,核电结构通常包含多个相互紧邻的构筑物,地震作用下相邻结构之间通过地基土联系在一起,周边厂房的存在改变了隔震结构周围的地面运动,从而使其动力响应不仅受到地基土的影响,还会受到相邻厂房运动的影响。因此,为了保证核电结构隔震分析的可靠性,将开展考虑周边厂房耦合作用的核电设备隔震结构动力分析。
2.服务内容
(1)需在现场为项目方提供32个孔隙水压计布设点位指导,及现场数据分析与处理服务。
(2)为本项目提供的孔隙水压计需实时测量不同地震工况下结构内部液体动态水压力变化和自由液面波高衰减数据,以分析隔振结构对核电设施的影响作用。
(3)本项目使用的孔压传感器要求具有微型化(直径≤10mm),高频响速率(响应时间≤0.1ms)、耐地震动幅值≥2.0g,耐地震动频率≥100Hz,分辨率≤0.010kPa(记录液面晃动波形),耐地震动工况数量≥400组,使用寿命≥2年,故障率≤5%,项目工况持续时间(水下布设)≥14天,传感器线缆总长度为25m。
(4)为本项目提供的仪器型号为DSP-II传感器(定制款),主要参数如表1所示。
表1.该项目所布设仪器具体情况

3.项目实况与代表数据
(1)试验设备
本次试验设备采用X,Y&Z三向六自由度5m×5m大型地震模拟振动台,主要性能参数:承载能力30ton,抗倾覆力矩80ton-m,行程X&Y±500mm和Z±200mm,加速度满载X&Y2g和Z2.0g,频率0.1Hz~100Hz,可输入任意正弦,随机和地震动等波形。
(2)传感器布设方案与现场技术服务
传感器布设方案和现场布设如图1所示,分别在堆水池底部内壁布设8个DSP-I型孔隙水压计,传感器标识为P1~P8;在距离堆水池底部1000mm处内部布置,8个DSP-I型孔隙水压计,传感器标识为P9~P16;在泛燃料池底部内壁布设8个DSP-I型孔隙水压计,传感器标识为P17~P24(由于项目保密性,标识为P25~P32孔隙水压计均布设在核电设施内部关键监测点位,未在图中进行标注)。

图1 部分传感器布设方案及现场传感器布设情况
(3)试验代表性数据

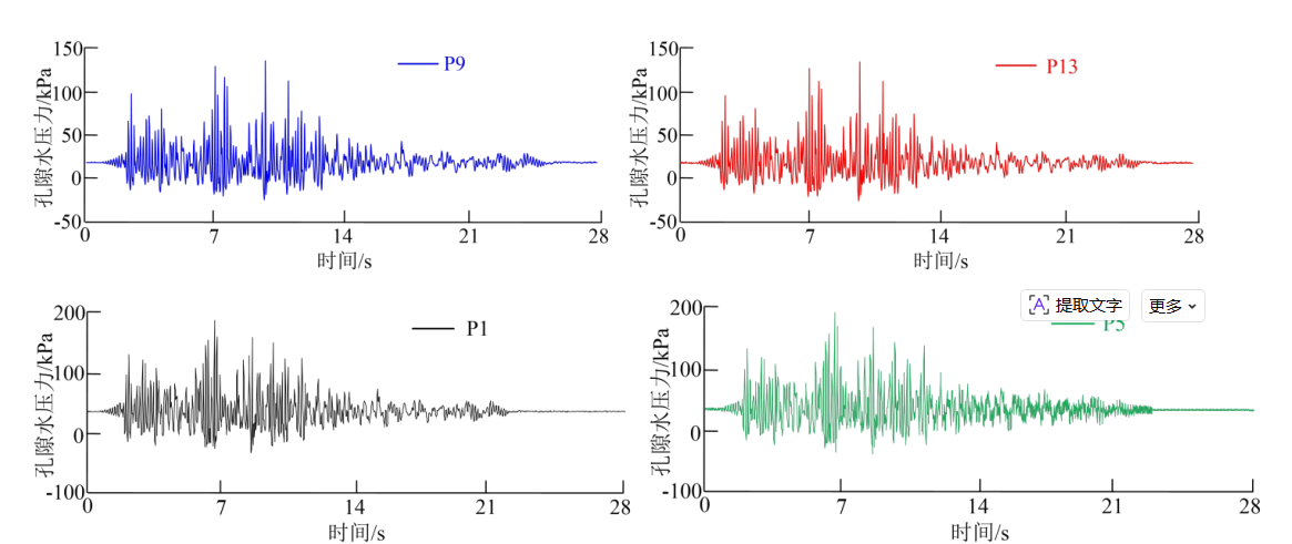
图4 某大型核电反应堆隔振试验部分测试点位动态水压力数据
图4为某大型核电站反应堆隔振试验P1和P5、P9和P13测试点位孔隙水压力响应数据,由图可以看出,在同向Z振动方向时,对称测试点位DSP-II孔压传感器量测的孔隙水压力数据高度吻合。
4.服务评价
本次国家重大能源设施和民生保障工程项目历经14天,DSP-II孔压传感器记录的数据为核电设施隔振效果的研究提供了重要资料,得到使用单位高度评价。
该项目输入地震动工况数量为480组,其中输入峰值加速度PGA≥0.5g地震波等共计160组,32个DSP-II孔压传感器均可正常工作、传感器故障率为0%,动态水压力量测数据良好,说明DSP-II孔压传感器具有高精度、动态测试准确性、可靠性和长期稳定性等特点。

专用传感器和采集仪
模型箱及制样系统
试验配套设备
全表面场非接触式变形测量单元
土工常用试验设备
室内岩石试验设备
粗粒土试验设备
其他试验设备
原位测试设备
工程勘察设备
工程钻机 
客服QQ